Глубинный насос для скважин IBO 3ISP 3/24
Код товара:
64230
Модель
3ISP 3/24
Потребляемая мощность, Вт
750
Напряжение в сети, В
220
Тип насоса
скважинный
Качество воды
чистая
Максимальный напор, м
85
Производительность, max (л/мин)
65
Материал корпуса насоса
нержавеющая сталь
Максимальная глубина погружения под зеркало воды, м
30
Длина кабеля, м
1
Гарантия 24 месяцев
Уточняйте наличие
Подобрать аналог
Калькулятор рассрочки (от 162,75 руб./мес)
Описание
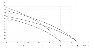
Погружной скважинный насос IBO 3ISP 3/24 диаметром 76 мм выполнен полностью из нержавеющей стали, предназначенные для установки в скважинах диаметром не менее 90 мм. Максимальное содержание песка в воде – до 0,3%. Насос IBO 3ISP 3/24 является одним из самых прочных в отношении конструкции насосом для глубоких скважин благодаря используемым материалам. Заборная часть и напорный патрубок, корпус, вал и роторы 100% изготовлены из нержавеющей стали. Насос поставляются в комплекте с 3–дюймовыми масляными двигателями. Скважинный насос обладает сбалансированными напорно-расходными характеристиками. Максимальный напор насоса составляет 85 м, максимальная производительность равна 3.9 м3/час, при этом мощность электродвигателя 750 Вт. Насосы ИБО серии 3ISP являются первыми насосами на Белорусском рынке, полностью изготовленными из нержавеющей стали диаметром 76мм. Насос комплектуется кабелем 1 м, предназначенный для погружением в воду. По желанию заказчика возможно удлинение кабеля на любую длину.
![9n9tf0kelabtrtaxvnvv7x1p9a7fgut8.png 9n9tf0kelabtrtaxvnvv7x1p9a7fgut8.png]()
Условия работы насоса ИБО серии 3ISP:
- Максимальная температура жидкости 35°С
- Максимальная температура окружающей среды 35°С
- Класс изоляции B
- Режим работы – непрерывный
- Безопасность – IP68
Материалы насоса ИБО серии 3ISP:
- Корпус всасывания / нагнетания: нержавеющая сталь Aisi 304
- Корпус: нержавеющая сталь AISI 304
- Вал и ротор: нержавеющая сталь AISI 304
- Лопастное колесо: нержавеющая сталь AISI 304
- Диффузор: нержавеющая сталь AISI 304
- Механический сальник: Керамика/Sic/NBR
- Двигатель: с масляным охлаждением
- Частота вращения двигателя: 2850 об/мин
Применение:
Водоснабжение односемейных домов и дачных домиков.Установка скважинного насоса IBO 3ISP 2/30
- Насос
- Ниппель
- Обратный клапан
- Муфта соединительная
- Труба
- Трос
- Зажимы
- Кабель
- Оголовок
- Штуцер 5-ти выводной
- Реле давления
- Манометр
- Штуцер 3-х ходовой
- Реле сухого хода
- Гидроаккумулятор
- Гибкая подводка
- Кран шаровый
- Компрессионные муфты

Характеристики
|
Модель
|
3ISP 3/24 |
|
Потребляемая мощность, Вт
|
750 |
|
Напряжение в сети, В
|
220 |
|
Тип насоса
|
скважинный |
|
Качество воды
|
чистая |
|
Максимальный напор, м
|
85 |
|
Производительность, max (л/мин)
|
65 |
|
Материал корпуса насоса
|
нержавеющая сталь |
|
Максимальная глубина погружения под зеркало воды, м
|
30 |
|
Длина кабеля, м
|
1 |
|
Минимальный диаметр скважины, мм
|
86 |
|
Частота, Гц
|
50 |
|
Мин. температура жидкости, °С
|
+1 |
|
Макс. температура жидкости, °С
|
+35 |
|
Класс защиты
|
IP68 |
|
Высота, мм
|
1290 |
|
Ширина, мм
|
76 |
|
Вес, кг
|
16 |
|
Присоединительный размер, мм (дюймов)
|
32 (1¼") |
|
Диаметр насоса, мм (дюймов)
|
76 (3") |
|
Длина, мм
|
76 |
|
Страна производства
|
Польша |
|
Производитель
|
PHU DAMBAT Feliksow, ul.Stolechna 99 Польша |
|
Срок гарантии (мес)
|
24 |
Отзывы
Рассрочка
1 Выберите срок рассрочки, мес
2
3
4
5
6
8
10
11
12
2 Выберите размер 1-го взноса
0%
10%
20%
30%
40%
50%
60%
70%
80%
0%
10%
20%
30%
40%
50%
60%
70%
80%
0%
10%
20%
30%
40%
50%
60%
70%
80%
0%
10%
20%
30%
40%
50%
60%
70%
80%
0%
10%
20%
30%
40%
50%
60%
70%
80%
0%
10%
20%
30%
40%
50%
60%
70%
80%
0%
10%
20%
30%
40%
50%
60%
70%
80%
0%
10%
20%
30%
40%
50%
60%
70%
80%
0%
10%
20%
30%
40%
50%
60%
70%
80%
3 Выберите рассрочку
Халва2/4 мес.
Карта покупок4 мес.
Черепаха6 мес.
Смарт карта3 мес.
КартаFun5 мес.
Халва2/4 мес.
Карта покупок4 мес.
Черепаха6 мес.
Смарт карта3 мес.
КартаFun5 мес.
Халва2/4 мес.
Карта покупок4 мес.
Черепаха6 мес.
Смарт карта3 мес.
КартаFun5 мес.
Халва2/4 мес.
Карта покупок4 мес.
Черепаха6 мес.
Смарт карта3 мес.
КартаFun5 мес.
Халва2/4 мес.
Карта покупок4 мес.
Черепаха6 мес.
Смарт карта3 мес.
КартаFun5 мес.
Халва2/4 мес.
Карта покупок4 мес.
Черепаха6 мес.
Смарт карта3 мес.
КартаFun5 мес.
Халва2/4 мес.
Карта покупок4 мес.
Черепаха6 мес.
Смарт карта3 мес.
КартаFun5 мес.
Халва2/4 мес.
Карта покупок4 мес.
Черепаха6 мес.
Смарт карта3 мес.
КартаFun5 мес.
Халва2/4 мес.
Карта покупок4 мес.
Черепаха6 мес.
Смарт карта3 мес.
КартаFun5 мес.
Халва2/4 мес.
Карта покупок4 мес.
Черепаха6 мес.
Смарт карта3 мес.
КартаFun5 мес.
Халва2/4 мес.
Карта покупок4 мес.
Черепаха6 мес.
Смарт карта3 мес.
КартаFun5 мес.
Халва2/4 мес.
Карта покупок4 мес.
Черепаха6 мес.
Смарт карта3 мес.
КартаFun5 мес.
Халва2/4 мес.
Карта покупок4 мес.
Черепаха6 мес.
Смарт карта3 мес.
КартаFun5 мес.
Халва2/4 мес.
Карта покупок4 мес.
Черепаха6 мес.
Смарт карта3 мес.
КартаFun5 мес.
Халва2/4 мес.
Карта покупок4 мес.
Черепаха6 мес.
Смарт карта3 мес.
КартаFun5 мес.
Халва2/4 мес.
Карта покупок4 мес.
Черепаха6 мес.
Смарт карта3 мес.
КартаFun5 мес.
Халва2/4 мес.
Карта покупок4 мес.
Черепаха6 мес.
Смарт карта3 мес.
КартаFun5 мес.
Халва2/4 мес.
Карта покупок4 мес.
Черепаха6 мес.
Смарт карта3 мес.
КартаFun5 мес.
Халва2/4 мес.
Карта покупок4 мес.
Черепаха6 мес.
Смарт карта3 мес.
КартаFun5 мес.
Халва2/4 мес.
Карта покупок4 мес.
Черепаха6 мес.
Смарт карта3 мес.
КартаFun5 мес.
Халва2/4 мес.
Карта покупок4 мес.
Черепаха6 мес.
Смарт карта3 мес.
КартаFun5 мес.
Халва2/4 мес.
Карта покупок4 мес.
Черепаха6 мес.
Смарт карта3 мес.
КартаFun5 мес.
Халва2/4 мес.
Карта покупок4 мес.
Черепаха6 мес.
Смарт карта3 мес.
КартаFun5 мес.
Халва2/4 мес.
Карта покупок4 мес.
Черепаха6 мес.
Смарт карта3 мес.
КартаFun5 мес.
Халва2/4 мес.
Карта покупок4 мес.
Черепаха6 мес.
Смарт карта3 мес.
КартаFun5 мес.
Халва2/4 мес.
Карта покупок4 мес.
Черепаха6 мес.
Смарт карта3 мес.
КартаFun5 мес.
Халва2/4 мес.
Карта покупок4 мес.
Черепаха6 мес.
Смарт карта3 мес.
КартаFun5 мес.
Халва2/4 мес.
Карта покупок4 мес.
Черепаха6 мес.
Смарт карта3 мес.
КартаFun5 мес.
Халва2/4 мес.
Карта покупок4 мес.
Черепаха6 мес.
Смарт карта3 мес.
КартаFun5 мес.
Халва2/4 мес.
Карта покупок4 мес.
Черепаха6 мес.
Смарт карта3 мес.
КартаFun5 мес.
Халва2/4 мес.
Карта покупок4 мес.
Черепаха6 мес.
Смарт карта3 мес.
КартаFun5 мес.
Халва2/4 мес.
Карта покупок4 мес.
Черепаха6 мес.
Смарт карта3 мес.
КартаFun5 мес.
Халва2/4 мес.
Карта покупок4 мес.
Черепаха6 мес.
Смарт карта3 мес.
КартаFun5 мес.
Халва2/4 мес.
Карта покупок4 мес.
Черепаха6 мес.
Смарт карта3 мес.
КартаFun5 мес.
Халва2/4 мес.
Карта покупок4 мес.
Черепаха6 мес.
Смарт карта3 мес.
КартаFun5 мес.
Халва2/4 мес.
Карта покупок4 мес.
Черепаха6 мес.
Смарт карта3 мес.
КартаFun5 мес.
Халва2/4 мес.
Карта покупок4 мес.
Черепаха6 мес.
Смарт карта3 мес.
КартаFun5 мес.
Халва2/4 мес.
Карта покупок4 мес.
Черепаха6 мес.
Смарт карта3 мес.
КартаFun5 мес.
Халва2/4 мес.
Карта покупок4 мес.
Черепаха6 мес.
Смарт карта3 мес.
КартаFun5 мес.
Халва2/4 мес.
Карта покупок4 мес.
Черепаха6 мес.
Смарт карта3 мес.
КартаFun5 мес.
Халва2/4 мес.
Карта покупок4 мес.
Черепаха6 мес.
Смарт карта3 мес.
КартаFun5 мес.
Халва2/4 мес.
Карта покупок4 мес.
Черепаха6 мес.
Смарт карта3 мес.
КартаFun5 мес.
Халва2/4 мес.
Карта покупок4 мес.
Черепаха6 мес.
Смарт карта3 мес.
КартаFun5 мес.
Халва2/4 мес.
Карта покупок4 мес.
Черепаха6 мес.
Смарт карта3 мес.
КартаFun5 мес.
Халва2/4 мес.
Карта покупок4 мес.
Черепаха6 мес.
Смарт карта3 мес.
КартаFun5 мес.
Халва2/4 мес.
Карта покупок4 мес.
Черепаха6 мес.
Смарт карта3 мес.
КартаFun5 мес.
Халва2/4 мес.
Карта покупок4 мес.
Черепаха6 мес.
Смарт карта3 мес.
КартаFun5 мес.
Халва2/4 мес.
Карта покупок4 мес.
Черепаха6 мес.
Смарт карта3 мес.
КартаFun5 мес.
Халва2/4 мес.
Карта покупок4 мес.
Черепаха6 мес.
Смарт карта3 мес.
КартаFun5 мес.
Халва2/4 мес.
Карта покупок4 мес.
Черепаха6 мес.
Смарт карта3 мес.
КартаFun5 мес.
Халва2/4 мес.
Карта покупок4 мес.
Черепаха6 мес.
Смарт карта3 мес.
КартаFun5 мес.
Халва2/4 мес.
Карта покупок4 мес.
Черепаха6 мес.
Смарт карта3 мес.
КартаFun5 мес.
Халва2/4 мес.
Карта покупок4 мес.
Черепаха6 мес.
Смарт карта3 мес.
КартаFun5 мес.
Халва2/4 мес.
Карта покупок4 мес.
Черепаха6 мес.
Смарт карта3 мес.
КартаFun5 мес.
Халва2/4 мес.
Карта покупок4 мес.
Черепаха6 мес.
Смарт карта3 мес.
КартаFun5 мес.
Халва2/4 мес.
Карта покупок4 мес.
Черепаха6 мес.
Смарт карта3 мес.
КартаFun5 мес.
Халва2/4 мес.
Карта покупок4 мес.
Черепаха6 мес.
Смарт карта3 мес.
КартаFun5 мес.
Халва2/4 мес.
Карта покупок4 мес.
Черепаха6 мес.
Смарт карта3 мес.
КартаFun5 мес.
Халва2/4 мес.
Карта покупок4 мес.
Черепаха6 мес.
Смарт карта3 мес.
КартаFun5 мес.
Халва2/4 мес.
Карта покупок4 мес.
Черепаха6 мес.
Смарт карта3 мес.
КартаFun5 мес.
Халва2/4 мес.
Карта покупок4 мес.
Черепаха6 мес.
Смарт карта3 мес.
КартаFun5 мес.
Халва2/4 мес.
Карта покупок4 мес.
Черепаха6 мес.
Смарт карта3 мес.
КартаFun5 мес.
Халва2/4 мес.
Карта покупок4 мес.
Черепаха6 мес.
Смарт карта3 мес.
КартаFun5 мес.
Халва2/4 мес.
Карта покупок4 мес.
Черепаха6 мес.
Смарт карта3 мес.
КартаFun5 мес.
Халва2/4 мес.
Карта покупок4 мес.
Черепаха6 мес.
Смарт карта3 мес.
КартаFun5 мес.
Халва2/4 мес.
Карта покупок4 мес.
Черепаха6 мес.
Смарт карта3 мес.
КартаFun5 мес.
Халва2/4 мес.
Карта покупок4 мес.
Черепаха6 мес.
Смарт карта3 мес.
КартаFun5 мес.
Халва2/4 мес.
Карта покупок4 мес.
Черепаха6 мес.
Смарт карта3 мес.
КартаFun5 мес.
Халва2/4 мес.
Карта покупок4 мес.
Черепаха6 мес.
Смарт карта3 мес.
КартаFun5 мес.
Халва2/4 мес.
Карта покупок4 мес.
Черепаха6 мес.
Смарт карта3 мес.
КартаFun5 мес.
Халва2/4 мес.
Карта покупок4 мес.
Черепаха6 мес.
Смарт карта3 мес.
КартаFun5 мес.
Халва2/4 мес.
Карта покупок4 мес.
Черепаха6 мес.
Смарт карта3 мес.
КартаFun5 мес.
Халва2/4 мес.
Карта покупок4 мес.
Черепаха6 мес.
Смарт карта3 мес.
КартаFun5 мес.
Халва2/4 мес.
Карта покупок4 мес.
Черепаха6 мес.
Смарт карта3 мес.
КартаFun5 мес.
Халва2/4 мес.
Карта покупок4 мес.
Черепаха6 мес.
Смарт карта3 мес.
КартаFun5 мес.
Халва2/4 мес.
Карта покупок4 мес.
Черепаха6 мес.
Смарт карта3 мес.
КартаFun5 мес.
Халва2/4 мес.
Карта покупок4 мес.
Черепаха6 мес.
Смарт карта3 мес.
КартаFun5 мес.
Халва2/4 мес.
Карта покупок4 мес.
Черепаха6 мес.
Смарт карта3 мес.
КартаFun5 мес.
Халва2/4 мес.
Карта покупок4 мес.
Черепаха6 мес.
Смарт карта3 мес.
КартаFun5 мес.
Халва2/4 мес.
Карта покупок4 мес.
Черепаха6 мес.
Смарт карта3 мес.
КартаFun5 мес.
Халва2/4 мес.
Карта покупок4 мес.
Черепаха6 мес.
Смарт карта3 мес.
КартаFun5 мес.
Рассрочка без переплат
первый взнос
0 руб.
0 руб.
в месяц
488.26 руб.
488.26 руб.
срок
2 мес.
2 мес.
Купить за 488.26 руб. в месяц
первый взнос
97.65 руб.
97.65 руб.
в месяц
439.43 руб.
439.43 руб.
срок
2 мес.
2 мес.
Купить за 439.43 руб. в месяц
первый взнос
195.30 руб.
195.30 руб.
в месяц
390.60 руб.
390.60 руб.
срок
2 мес.
2 мес.
Купить за 390.60 руб. в месяц
первый взнос
292.95 руб.
292.95 руб.
в месяц
341.78 руб.
341.78 руб.
срок
2 мес.
2 мес.
Купить за 341.78 руб. в месяц
первый взнос
390.60 руб.
390.60 руб.
в месяц
292.95 руб.
292.95 руб.
срок
2 мес.
2 мес.
Купить за 292.95 руб. в месяц
первый взнос
488.26 руб.
488.26 руб.
в месяц
244.13 руб.
244.13 руб.
срок
2 мес.
2 мес.
Купить за 244.13 руб. в месяц
первый взнос
585.91 руб.
585.91 руб.
в месяц
195.30 руб.
195.30 руб.
срок
2 мес.
2 мес.
Купить за 195.30 руб. в месяц
первый взнос
683.56 руб.
683.56 руб.
в месяц
146.48 руб.
146.48 руб.
срок
2 мес.
2 мес.
Купить за 146.48 руб. в месяц
первый взнос
781.21 руб.
781.21 руб.
в месяц
97.65 руб.
97.65 руб.
срок
2 мес.
2 мес.
Купить за 97.65 руб. в месяц
первый взнос
0 руб.
0 руб.
в месяц
325.50 руб.
325.50 руб.
срок
3 мес.
3 мес.
Купить за 325.50 руб. в месяц
первый взнос
97.65 руб.
97.65 руб.
в месяц
292.95 руб.
292.95 руб.
срок
3 мес.
3 мес.
Купить за 292.95 руб. в месяц
первый взнос
195.30 руб.
195.30 руб.
в месяц
260.40 руб.
260.40 руб.
срок
3 мес.
3 мес.
Купить за 260.40 руб. в месяц
первый взнос
292.95 руб.
292.95 руб.
в месяц
227.85 руб.
227.85 руб.
срок
3 мес.
3 мес.
Купить за 227.85 руб. в месяц
первый взнос
390.60 руб.
390.60 руб.
в месяц
195.30 руб.
195.30 руб.
срок
3 мес.
3 мес.
Купить за 195.30 руб. в месяц
первый взнос
488.26 руб.
488.26 руб.
в месяц
162.75 руб.
162.75 руб.
срок
3 мес.
3 мес.
Купить за 162.75 руб. в месяц
первый взнос
585.91 руб.
585.91 руб.
в месяц
130.20 руб.
130.20 руб.
срок
3 мес.
3 мес.
Купить за 130.20 руб. в месяц
первый взнос
683.56 руб.
683.56 руб.
в месяц
97.65 руб.
97.65 руб.
срок
3 мес.
3 мес.
Купить за 97.65 руб. в месяц
первый взнос
781.21 руб.
781.21 руб.
в месяц
65.10 руб.
65.10 руб.
срок
3 мес.
3 мес.
Купить за 65.10 руб. в месяц
первый взнос
0 руб.
0 руб.
в месяц
244.13 руб.
244.13 руб.
срок
4 мес.
4 мес.
Купить за 244.13 руб. в месяц
первый взнос
97.65 руб.
97.65 руб.
в месяц
219.71 руб.
219.71 руб.
срок
4 мес.
4 мес.
Купить за 219.71 руб. в месяц
первый взнос
195.30 руб.
195.30 руб.
в месяц
195.30 руб.
195.30 руб.
срок
4 мес.
4 мес.
Купить за 195.30 руб. в месяц
первый взнос
292.95 руб.
292.95 руб.
в месяц
170.89 руб.
170.89 руб.
срок
4 мес.
4 мес.
Купить за 170.89 руб. в месяц
первый взнос
390.60 руб.
390.60 руб.
в месяц
146.48 руб.
146.48 руб.
срок
4 мес.
4 мес.
Купить за 146.48 руб. в месяц
первый взнос
488.26 руб.
488.26 руб.
в месяц
122.06 руб.
122.06 руб.
срок
4 мес.
4 мес.
Купить за 122.06 руб. в месяц
первый взнос
585.91 руб.
585.91 руб.
в месяц
97.65 руб.
97.65 руб.
срок
4 мес.
4 мес.
Купить за 97.65 руб. в месяц
первый взнос
683.56 руб.
683.56 руб.
в месяц
73.24 руб.
73.24 руб.
срок
4 мес.
4 мес.
Купить за 73.24 руб. в месяц
первый взнос
781.21 руб.
781.21 руб.
в месяц
48.83 руб.
48.83 руб.
срок
4 мес.
4 мес.
Купить за 48.83 руб. в месяц
первый взнос
0 руб.
0 руб.
в месяц
195.30 руб.
195.30 руб.
срок
5 мес.
5 мес.
Купить за 195.30 руб. в месяц
первый взнос
97.65 руб.
97.65 руб.
в месяц
175.77 руб.
175.77 руб.
срок
5 мес.
5 мес.
Купить за 175.77 руб. в месяц
первый взнос
195.30 руб.
195.30 руб.
в месяц
156.24 руб.
156.24 руб.
срок
5 мес.
5 мес.
Купить за 156.24 руб. в месяц
первый взнос
292.95 руб.
292.95 руб.
в месяц
136.71 руб.
136.71 руб.
срок
5 мес.
5 мес.
Купить за 136.71 руб. в месяц
первый взнос
390.60 руб.
390.60 руб.
в месяц
117.18 руб.
117.18 руб.
срок
5 мес.
5 мес.
Купить за 117.18 руб. в месяц
первый взнос
488.26 руб.
488.26 руб.
в месяц
97.65 руб.
97.65 руб.
срок
5 мес.
5 мес.
Купить за 97.65 руб. в месяц
первый взнос
585.91 руб.
585.91 руб.
в месяц
78.12 руб.
78.12 руб.
срок
5 мес.
5 мес.
Купить за 78.12 руб. в месяц
первый взнос
683.56 руб.
683.56 руб.
в месяц
58.59 руб.
58.59 руб.
срок
5 мес.
5 мес.
Купить за 58.59 руб. в месяц
первый взнос
781.21 руб.
781.21 руб.
в месяц
39.06 руб.
39.06 руб.
срок
5 мес.
5 мес.
Купить за 39.06 руб. в месяц
первый взнос
0 руб.
0 руб.
в месяц
162.75 руб.
162.75 руб.
срок
6 мес.
6 мес.
Купить за 162.75 руб. в месяц
первый взнос
97.65 руб.
97.65 руб.
в месяц
146.48 руб.
146.48 руб.
срок
6 мес.
6 мес.
Купить за 146.48 руб. в месяц
первый взнос
195.30 руб.
195.30 руб.
в месяц
130.20 руб.
130.20 руб.
срок
6 мес.
6 мес.
Купить за 130.20 руб. в месяц
первый взнос
292.95 руб.
292.95 руб.
в месяц
113.93 руб.
113.93 руб.
срок
6 мес.
6 мес.
Купить за 113.93 руб. в месяц
первый взнос
390.60 руб.
390.60 руб.
в месяц
97.65 руб.
97.65 руб.
срок
6 мес.
6 мес.
Купить за 97.65 руб. в месяц
первый взнос
488.26 руб.
488.26 руб.
в месяц
81.38 руб.
81.38 руб.
срок
6 мес.
6 мес.
Купить за 81.38 руб. в месяц
первый взнос
585.91 руб.
585.91 руб.
в месяц
65.10 руб.
65.10 руб.
срок
6 мес.
6 мес.
Купить за 65.10 руб. в месяц
первый взнос
683.56 руб.
683.56 руб.
в месяц
48.83 руб.
48.83 руб.
срок
6 мес.
6 мес.
Купить за 48.83 руб. в месяц
первый взнос
781.21 руб.
781.21 руб.
в месяц
32.55 руб.
32.55 руб.
срок
6 мес.
6 мес.
Купить за 32.55 руб. в месяц
первый взнос
0 руб.
0 руб.
в месяц
122.06 руб.
122.06 руб.
срок
8 мес.
8 мес.
Купить за 122.06 руб. в месяц
первый взнос
97.65 руб.
97.65 руб.
в месяц
109.86 руб.
109.86 руб.
срок
8 мес.
8 мес.
Купить за 109.86 руб. в месяц
первый взнос
195.30 руб.
195.30 руб.
в месяц
97.65 руб.
97.65 руб.
срок
8 мес.
8 мес.
Купить за 97.65 руб. в месяц
первый взнос
292.95 руб.
292.95 руб.
в месяц
85.44 руб.
85.44 руб.
срок
8 мес.
8 мес.
Купить за 85.44 руб. в месяц
первый взнос
390.60 руб.
390.60 руб.
в месяц
73.24 руб.
73.24 руб.
срок
8 мес.
8 мес.
Купить за 73.24 руб. в месяц
первый взнос
488.26 руб.
488.26 руб.
в месяц
61.03 руб.
61.03 руб.
срок
8 мес.
8 мес.
Купить за 61.03 руб. в месяц
первый взнос
585.91 руб.
585.91 руб.
в месяц
48.83 руб.
48.83 руб.
срок
8 мес.
8 мес.
Купить за 48.83 руб. в месяц
первый взнос
683.56 руб.
683.56 руб.
в месяц
36.62 руб.
36.62 руб.
срок
8 мес.
8 мес.
Купить за 36.62 руб. в месяц
первый взнос
781.21 руб.
781.21 руб.
в месяц
24.41 руб.
24.41 руб.
срок
8 мес.
8 мес.
Купить за 24.41 руб. в месяц
первый взнос
0 руб.
0 руб.
в месяц
97.65 руб.
97.65 руб.
срок
10 мес.
10 мес.
Купить за 97.65 руб. в месяц
первый взнос
97.65 руб.
97.65 руб.
в месяц
87.89 руб.
87.89 руб.
срок
10 мес.
10 мес.
Купить за 87.89 руб. в месяц
первый взнос
195.30 руб.
195.30 руб.
в месяц
78.12 руб.
78.12 руб.
срок
10 мес.
10 мес.
Купить за 78.12 руб. в месяц
первый взнос
292.95 руб.
292.95 руб.
в месяц
68.36 руб.
68.36 руб.
срок
10 мес.
10 мес.
Купить за 68.36 руб. в месяц
первый взнос
390.60 руб.
390.60 руб.
в месяц
58.59 руб.
58.59 руб.
срок
10 мес.
10 мес.
Купить за 58.59 руб. в месяц
первый взнос
488.26 руб.
488.26 руб.
в месяц
48.83 руб.
48.83 руб.
срок
10 мес.
10 мес.
Купить за 48.83 руб. в месяц
первый взнос
585.91 руб.
585.91 руб.
в месяц
39.06 руб.
39.06 руб.
срок
10 мес.
10 мес.
Купить за 39.06 руб. в месяц
первый взнос
683.56 руб.
683.56 руб.
в месяц
29.30 руб.
29.30 руб.
срок
10 мес.
10 мес.
Купить за 29.30 руб. в месяц
первый взнос
781.21 руб.
781.21 руб.
в месяц
19.53 руб.
19.53 руб.
срок
10 мес.
10 мес.
Купить за 19.53 руб. в месяц
первый взнос
0 руб.
0 руб.
в месяц
88.77 руб.
88.77 руб.
срок
11 мес.
11 мес.
Купить за 88.77 руб. в месяц
первый взнос
97.65 руб.
97.65 руб.
в месяц
79.90 руб.
79.90 руб.
срок
11 мес.
11 мес.
Купить за 79.90 руб. в месяц
первый взнос
195.30 руб.
195.30 руб.
в месяц
71.02 руб.
71.02 руб.
срок
11 мес.
11 мес.
Купить за 71.02 руб. в месяц
первый взнос
292.95 руб.
292.95 руб.
в месяц
62.14 руб.
62.14 руб.
срок
11 мес.
11 мес.
Купить за 62.14 руб. в месяц
первый взнос
390.60 руб.
390.60 руб.
в месяц
53.26 руб.
53.26 руб.
срок
11 мес.
11 мес.
Купить за 53.26 руб. в месяц
первый взнос
488.26 руб.
488.26 руб.
в месяц
44.39 руб.
44.39 руб.
срок
11 мес.
11 мес.
Купить за 44.39 руб. в месяц
первый взнос
585.91 руб.
585.91 руб.
в месяц
35.51 руб.
35.51 руб.
срок
11 мес.
11 мес.
Купить за 35.51 руб. в месяц
первый взнос
683.56 руб.
683.56 руб.
в месяц
26.63 руб.
26.63 руб.
срок
11 мес.
11 мес.
Купить за 26.63 руб. в месяц
первый взнос
781.21 руб.
781.21 руб.
в месяц
17.75 руб.
17.75 руб.
срок
11 мес.
11 мес.
Купить за 17.75 руб. в месяц
первый взнос
0 руб.
0 руб.
в месяц
81.38 руб.
81.38 руб.
срок
12 мес.
12 мес.
Купить за 81.38 руб. в месяц
первый взнос
97.65 руб.
97.65 руб.
в месяц
73.24 руб.
73.24 руб.
срок
12 мес.
12 мес.
Купить за 73.24 руб. в месяц
первый взнос
195.30 руб.
195.30 руб.
в месяц
65.10 руб.
65.10 руб.
срок
12 мес.
12 мес.
Купить за 65.10 руб. в месяц
первый взнос
292.95 руб.
292.95 руб.
в месяц
56.96 руб.
56.96 руб.
срок
12 мес.
12 мес.
Купить за 56.96 руб. в месяц
первый взнос
390.60 руб.
390.60 руб.
в месяц
48.83 руб.
48.83 руб.
срок
12 мес.
12 мес.
Купить за 48.83 руб. в месяц
первый взнос
488.26 руб.
488.26 руб.
в месяц
40.69 руб.
40.69 руб.
срок
12 мес.
12 мес.
Купить за 40.69 руб. в месяц
первый взнос
585.91 руб.
585.91 руб.
в месяц
32.55 руб.
32.55 руб.
срок
12 мес.
12 мес.
Купить за 32.55 руб. в месяц
первый взнос
683.56 руб.
683.56 руб.
в месяц
24.41 руб.
24.41 руб.
срок
12 мес.
12 мес.
Купить за 24.41 руб. в месяц
первый взнос
781.21 руб.
781.21 руб.
в месяц
16.28 руб.
16.28 руб.
срок
12 мес.
12 мес.
Купить за 16.28 руб. в месяц
Сопутствующие товары
Вопрос-ответ
Работаете ли вы по безналичному расчету?
Да, мы работаем по безналичному расчету. Заявки и реквизиты отправляйте на электронную почту zakaz@nasosov.by
Подробнее о способах оплаты в нашем интернет-магазине в разделе "Способы оплаты"
Подробнее о способах оплаты в нашем интернет-магазине в разделе "Способы оплаты"
Возможен ли самовывоз заказанного товара?
Конечно! Вы можете посмотреть на товар "вживую" и забрать насос прямо со склада в Минске.
Мы находимся в центре Минска, и будем рады Вас видеть!
Подробнее читайте в разделе "Склад насосов в Минске".
Мы находимся в центре Минска, и будем рады Вас видеть!
Подробнее читайте в разделе "Склад насосов в Минске".
Как осуществляется доставка в регионы?
Мы осуществляем доставку в 134 города Беларуси, тем самым охватывая 85% населения нашей страны.
Доставка в любой из городов осуществляется в течение 1-3 дней, в зависимости от загруженности машин и Ваших предпочтений.
Подробнее со списком городов и о доставке по Беларуси Вы можете ознакомиться в специальном разделе сайта "Доставка по Беларуси"
Доставка в любой из городов осуществляется в течение 1-3 дней, в зависимости от загруженности машин и Ваших предпочтений.
Подробнее со списком городов и о доставке по Беларуси Вы можете ознакомиться в специальном разделе сайта "Доставка по Беларуси"
Подскажите какой режим работы консультанта по телефону?
По любым, возникшим у Вас вопросам, вы можете обращаться к нам в будние дни с 9:00 до 18:00.
А также, круглосуточно, Вы можете задавать свои вопросы в форме ниже, либо в разделе "Контакты".
А также, круглосуточно, Вы можете задавать свои вопросы в форме ниже, либо в разделе "Контакты".
|
Наши специалисты ответят на любой интересующий вопрос по товару или работе магазина
|
Задать вопрос
|


