Глубинный насос для скважин Omnigena 4 SD 3/18
- Самовывоз в Минске бесплатно, в рабочее времяПн.-Пт. 09:00-18:00 Адрес: г. Минск, ул. Автодоровская 24А. Обязательно уточняйте наличие товара на пункте самовывоза.
- По Минску бесплатно, Сегодня-завтра доставимДоставка осуществляется в удобное для вас время.
- По Беларуси 27 руб., 1-2 дняМы согласуем с Вами стоимость доставки при подтверждении заказа. Она может варьироваться в зависимости от веса и габарита товаров.
Скважинные центробежные многоступенчатые насосы Omnigena 4 SD имеют плавающие колеса турбины, встроенный конденсатор и автомат защиты, работают в скважинах до 120 мм, нержавеющая сталь.
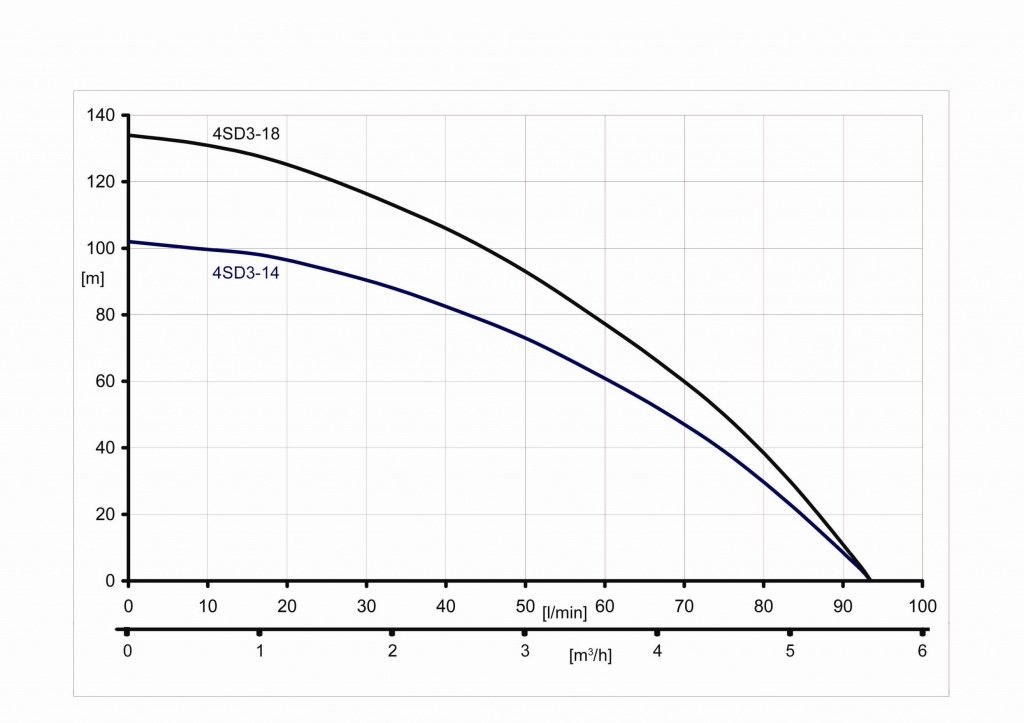
Производительность, л/мин: 92;
Длинна электрокабеля, м: 19;
Максимальная напор, м: 132;
Потребляемая мощность, Вт: 1500;
Страна производства: Польша;
Срок гарантии, мес: 12.
Погружные насосы Omnigena 4SD - это устройства, отличающиеся прочной конструкцией. Они используются для перекачивания чистой холодной воды, не содержащей мелющих частиц и длинных волокон. Однако особая конструкция допускает возможность перекачивания жидкостей с наличием определенного количества примесей с измельчающими свойствами. Максимально допустимое содержание песка, допустимое для насосов Omnigena 4SD, составляет 5%.. Перекачка жидкостей с содержанием примесей, превышающих допустимую норму, приведет к быстрому износу насоса, а затем и к его выходу из строя. Устройства используются в основном в глубоких колодцах, отдельно стоящих водоемах и водозаборах, где поверхность воды находится на глубине менее 8 метров.
Omnigena 4SD - это многоступенчатые погружные насосы традиционной конструкции. Они состоят из двух ключевых элементов для его работы, это электродвигатель и гидравлическая часть - многоступенчатый насос.
ГИДРАВЛИКА
Основные части гидравлической части выполнены из самых прочных и устойчивых к коррозии материалов:
- всасывающий корпус - латунь
- корпус насоса - нержавеющая сталь
- вал насоса - нержавеющая сталь
- корпус кабеля - нержавеющая сталь
- сцепление - нержавеющая сталь
- входное сито - нержавеющая сталь
- крепежные винты - нержавеющая сталь
- рабочие колеса и диффузор - Noryl
ЭЛЕКТРИЧЕСКИЙ ДВИГАТЕЛЬ
Погружные насосы Omnigena 4SD оснащены надежными двигателями с масляным охлаждением, обеспечивающими длительный срок службы. Они могут питаться от 230 В и 400 В. Охлаждение экологическим минеральным маслом безопасно для воды и окружающей среды, а также эффективно смазывает подшипник двигателя, благодаря чему он защищен от изменения текущих параметров. Основные характеристики двигателя:
- степень защиты - IP 68
- класс изоляции - В
Насосы с питанием от сети 230 В имеют дополнительный пусковой блок.
ПРИМЕНЕНИЕ ПОГРУЖНЫХ НАСОСОВ OMNIGENA 4SD
Очень хорошие рабочие параметры, такие как КПД и напор, вместе с конструкцией, допускающей присутствие песка в перекачиваемой среде, делают погружные насосы Omnigena 4SD широко применяемыми:
- в системах водоснабжения жилых домов;
- для забора воды прямо из пробуренных скважин, которые отличаются повышенным содержанием песка;
- в садоводстве и сельском хозяйстве;
- в оросительных системах;
- на промышленных предприятиях;
- на производственных предприятиях;
- на предприятиях городского водоснабжения, и коммунальных предприятиях.
ОСОБЕННОСТИ И ПРЕИМУЩЕСТВА ПОГРУЖНЫХ НАСОСОВ OMNIGENA 4SD
Погружные насосы 4SD - это гарантия многих преимуществ. Это связано с огромным количеством положительных характеристик, которыми обладают устройства этого типа, наиболее важными из которых являются:
- прочная и устойчивая к коррозии конструкция, в основном из прочной нержавеющей стали;
- конструкция, позволяющая транспортировать жидкости с содержанием песка до 5%;
- долгий срок службы;
- безотказная, надежная работа;
- двигатели с масляным охлаждением, которые, полностью смазывая подшипники, обеспечивают защиту от колебаний тока и продлевают срок; службы устройства;
- широкий спектр рабочих параметров, которые оправдают ожидания каждого пользователя;
- широкий диапазон мощности двигателя;
- выбор мощности;
- возможность удлинения заводского кабеля с помощью надежного герметичного разъема;
- легкая сборка;
- отличное соотношение цены и качества.
|
Модель
|
4 SD 3/18 |
|
Потребляемая мощность, Вт
|
1500 |
|
Напряжение в сети, В
|
220 |
|
Тип насоса
|
скважинный |
|
Максимальный напор, м
|
132 |
|
Производительность, max (л/мин)
|
92 |
|
Материал корпуса насоса
|
нержавеющая сталь |
|
Максимальный пропуск частиц, мм
|
чистая |
|
Максимальная глубина погружения под зеркало воды, м
|
120 |
|
Длина кабеля, м
|
20 |
|
Максимальный ток, А
|
50 |
|
Минимальный диаметр скважины, мм
|
110 |
|
Защита от сухого хода
|
нет |
|
Макс. температура жидкости, °С
|
+35 |
|
Класс защиты
|
IP68 |
|
Высота, мм
|
1146 |
|
Ширина, мм
|
0 |
|
Вес, кг
|
22 |
|
Присоединительный размер, мм (дюймов)
|
40 (1½") |
|
Диаметр насоса, мм (дюймов)
|
100 (4") |
|
Страна производства
|
Польша |
|
Производитель
|
OMNIGENA Sp.j. 05-860 Płochocin Święcice ul. Pozytywki 7 |
|
Срок гарантии (мес)
|
12 |
0 руб.
482.76 руб.
2 мес.
96.55 руб.
434.48 руб.
2 мес.
193.10 руб.
386.21 руб.
2 мес.
289.66 руб.
337.93 руб.
2 мес.
386.21 руб.
289.66 руб.
2 мес.
482.76 руб.
241.38 руб.
2 мес.
579.31 руб.
193.10 руб.
2 мес.
675.86 руб.
144.83 руб.
2 мес.
772.42 руб.
96.55 руб.
2 мес.
0 руб.
321.84 руб.
3 мес.
96.55 руб.
289.66 руб.
3 мес.
193.10 руб.
257.47 руб.
3 мес.
289.66 руб.
225.29 руб.
3 мес.
386.21 руб.
193.10 руб.
3 мес.
482.76 руб.
160.92 руб.
3 мес.
579.31 руб.
128.74 руб.
3 мес.
675.86 руб.
96.55 руб.
3 мес.
772.42 руб.
64.37 руб.
3 мес.
0 руб.
241.38 руб.
4 мес.
96.55 руб.
217.24 руб.
4 мес.
193.10 руб.
193.10 руб.
4 мес.
289.66 руб.
168.97 руб.
4 мес.
386.21 руб.
144.83 руб.
4 мес.
482.76 руб.
120.69 руб.
4 мес.
579.31 руб.
96.55 руб.
4 мес.
675.86 руб.
72.41 руб.
4 мес.
772.42 руб.
48.28 руб.
4 мес.
0 руб.
193.10 руб.
5 мес.
96.55 руб.
173.79 руб.
5 мес.
193.10 руб.
154.48 руб.
5 мес.
289.66 руб.
135.17 руб.
5 мес.
386.21 руб.
115.86 руб.
5 мес.
482.76 руб.
96.55 руб.
5 мес.
579.31 руб.
77.24 руб.
5 мес.
675.86 руб.
57.93 руб.
5 мес.
772.42 руб.
38.62 руб.
5 мес.
0 руб.
160.92 руб.
6 мес.
96.55 руб.
144.83 руб.
6 мес.
193.10 руб.
128.74 руб.
6 мес.
289.66 руб.
112.64 руб.
6 мес.
386.21 руб.
96.55 руб.
6 мес.
482.76 руб.
80.46 руб.
6 мес.
579.31 руб.
64.37 руб.
6 мес.
675.86 руб.
48.28 руб.
6 мес.
772.42 руб.
32.18 руб.
6 мес.
0 руб.
120.69 руб.
8 мес.
96.55 руб.
108.62 руб.
8 мес.
193.10 руб.
96.55 руб.
8 мес.
289.66 руб.
84.48 руб.
8 мес.
386.21 руб.
72.41 руб.
8 мес.
482.76 руб.
60.35 руб.
8 мес.
579.31 руб.
48.28 руб.
8 мес.
675.86 руб.
36.21 руб.
8 мес.
772.42 руб.
24.14 руб.
8 мес.
0 руб.
96.55 руб.
10 мес.
96.55 руб.
86.90 руб.
10 мес.
193.10 руб.
77.24 руб.
10 мес.
289.66 руб.
67.59 руб.
10 мес.
386.21 руб.
57.93 руб.
10 мес.
482.76 руб.
48.28 руб.
10 мес.
579.31 руб.
38.62 руб.
10 мес.
675.86 руб.
28.97 руб.
10 мес.
772.42 руб.
19.31 руб.
10 мес.
0 руб.
87.77 руб.
11 мес.
96.55 руб.
79 руб.
11 мес.
193.10 руб.
70.22 руб.
11 мес.
289.66 руб.
61.44 руб.
11 мес.
386.21 руб.
52.66 руб.
11 мес.
482.76 руб.
43.89 руб.
11 мес.
579.31 руб.
35.11 руб.
11 мес.
675.86 руб.
26.33 руб.
11 мес.
772.42 руб.
17.55 руб.
11 мес.
0 руб.
80.46 руб.
12 мес.
96.55 руб.
72.41 руб.
12 мес.
193.10 руб.
64.37 руб.
12 мес.
289.66 руб.
56.32 руб.
12 мес.
386.21 руб.
48.28 руб.
12 мес.
482.76 руб.
40.23 руб.
12 мес.
579.31 руб.
32.18 руб.
12 мес.
675.86 руб.
24.14 руб.
12 мес.
772.42 руб.
16.09 руб.
12 мес.
Подробнее о способах оплаты в нашем интернет-магазине в разделе "Способы оплаты"
Мы находимся в центре Минска, и будем рады Вас видеть!
Подробнее читайте в разделе "Склад насосов в Минске".
Доставка в любой из городов осуществляется в течение 1-3 дней, в зависимости от загруженности машин и Ваших предпочтений.
Подробнее со списком городов и о доставке по Беларуси Вы можете ознакомиться в специальном разделе сайта "Доставка по Беларуси"
А также, круглосуточно, Вы можете задавать свои вопросы в форме ниже, либо в разделе "Контакты".
|
Наши специалисты ответят на любой интересующий вопрос по товару или работе магазина
|
Задать вопрос
|


